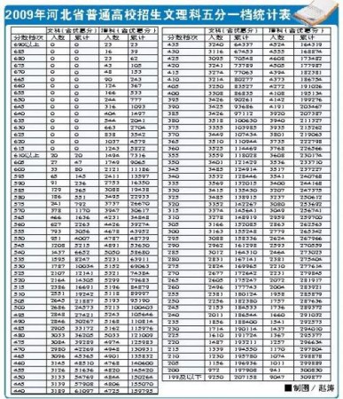
本报讯(记者王丽媛)昨天,今年河北普通高校招生各批各类录取控制分数线确定,2009年河北省普通高校招生文理科五分一档统计表也(详见下表)予以公布。
记者采访发现,今年我省高考“状元”出了三个,两女一男。两位理科“状元”“裸分”高达694分,分别是石家庄市第二中学的王师和定州中学的渠鹏,其中渠鹏如算上10分的加分,总分数达到704分。文科状元是遵化一中的陈璐。
据介绍,今年我省文史类本科一批分数线为539分,本科二批分数线为502分。去年我省文史类本科一批分数线为537分,本科二批分数线为503分。今年文史类本一线和本二线分别比去年高2分和低1分。
今年我省理工类本科一批分数线为569分,本科二批分数线为524分。去年我省理工类本科一批分数线为552分,本科二批分数线为514分。
今年理工类本一线和本二线分别比去年高17分和10分。今年我省超过600分的高分考生文科80人,理科则达到11186人,而去年这一人数分别为123人和4338人。
今年我省理科考生有着上佳表现,仅675分以上的考生就达到105人,而去年仅为16人。630分以上的理科考生为2704人,去年则为781人。超过600分的理科考生更是达到了11186人,比去年的4338人整整多出6848人。而文科高分考生数量有所减少,去年625分以上的考生为10人,今年则没有。

福建高考招生信息网提供高考填报志愿、高考成绩查询、高考录取、历年高考分数线、高考政策、高考招生计划、福建高考招生、补录、扩招、高考计划外招生、福建高考、高考招生信息、高考试卷答案、高考试题、全国高校信息查询等各项服务。http://www.555edu.com/





