一转眼,高考已经过去十来天了,近期,各省市的高考评卷工作也进入了尾声,绝大部分地区也公布了(预计)高考放榜时间,湖南的查分时间则定在了6.25号左右。高考生们,你们估分了吗?
根据以往的情况,高考分数比估计分数普遍要高一些,这是为什么呢?如果估分高了或者低了,对于志愿填报有哪些影响呢?
1 为什么会低估了自己的成绩?
这类考生一般而言属于谨小慎微型,在估分时很认真,很投入,特别对于语文的作文分,政史地等科目的问答之类的题,对照标准答案,感觉自己回答得不够规范,或者感觉与标准答案没能高度吻合,于是,下意识地会给自己的题打低分,按照学生心理一般在估分时都会把自己往低了想。
例如语文作文就特别明显,考生一般对自己的作文估计出一个很保守的分数,不可能有考生会把自己的作文估分为满分,但是,按照高考作文的改卷标准,满分作文是可能的。对于语文成绩很好的考生来说,仅作文一项就抬高了考生的分数。
实际上,阅卷老师在阅卷时,是几个人共同完成的,几个老师一起会对标准答案进行分析,然后再对照考生的试卷,制定统一的给分标准。老师们严格按照给分有理,扣分有据给考生打分,有些步骤分比考生们想的要多一些。尤其这类科目在改卷的时候,好多题的答案会提示:意思对即可!考生在组织答案时,不可能像偏理科的科目那样一就是一,二就是二。这样的话,老师给出的分数,可能就比考生估计的分数高。
于是,同学们就开始想了:看来,我成绩还有上升的空间,还可能离目标院校更近些,或者进目标院校绰绰有余!愿望是好的,不过,也不能一概而论。并非所有的考生所估分数都比高考低,相反,还有一部分学生会“高估”了自己的成绩。
2 哪些考生容易高估自己呢?
成绩中等,平时不太严谨的考生。对照标准答案,粗略估计,糊里糊涂给自己估个分。估分的过程中,只重视结果,不重视过程。特别是理科,阅卷老师在改卷时,是严格按照答题步骤给分的。答题步骤不规范,表述不严密,即使结果正确,也是要扣分的。还有一部分考生,考试时全力以赴,考完之后,对当时自己是如何答题的,实在是记不太清楚,于是约摸给自己一个分数。有的高了,有的低了。
因此,高考估分与实际分数相差一二十分,属于正常现象。考生不必因为估分低而闷闷不乐,忧愁叹息;也不必因为估分成绩好,而沾沾自喜。
3 赋分对高考分数的影响
考试院官网查询的高考分数是赋分后的分数,具体湖南高考赋分计算方式如下:
湖南新高考再选科目每科原始分满分为 100分,转换时以30分作为等级转换的赋分起点, 满分100分。将考生每门再选科目考试的原始成绩 从高到低划定为A、B、C、D、E五等,各等级人数所占比例分别为15%、35%、35%、13%和2%。转换基数为实际参加该再选科目考试并取得有效成绩 的人数。转换时,将A至E等级内的考生原始成绩,依照等比例转换法则,分别转换到100- 86分、 85 ~ 71 分、70 ~ 56 分、55 ~ 41 分、40 ~ 30 分。
五个等级分数区间,根据转换公式计算,四舍五入得到考生的等级成绩。转换后的等级成绩一分一档,考生排序不变。

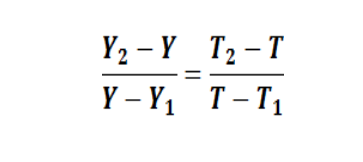
等级赋分转换公式及计算方法:

Y1、Y2分别表示某等级原始分数区间的下限和上限;
T1、T2分别表示相应等级的赋分区间的下限和上限;
Y表示考生的原始成绩,
X表示考生转换后的等级成绩。
举个例子:假如某个小可爱的地理原始成绩是85分,在当年全省参加该科目考生的考生中位于前3%,那么该小可爱的赋分区间为100-86分。根据考生的成绩分布,假如A等级的原始分区间为99~83,那么这个小可爱的成绩X就是:(99-85)/(85-83)=(100-X)/(X-86)得出X=88,这就是小可爱的地理赋分成绩。
这个原始分数区间是要根据考生在全省的排名情况来定的。所以赋分后分数变化的多少是要根据具体的考试情况来定的。






闽公网安备35010202002009号