当前位置: 首页 > 浙江高考 > 高考资讯 > 浙江省2020年单独考试招生平行投档分数线

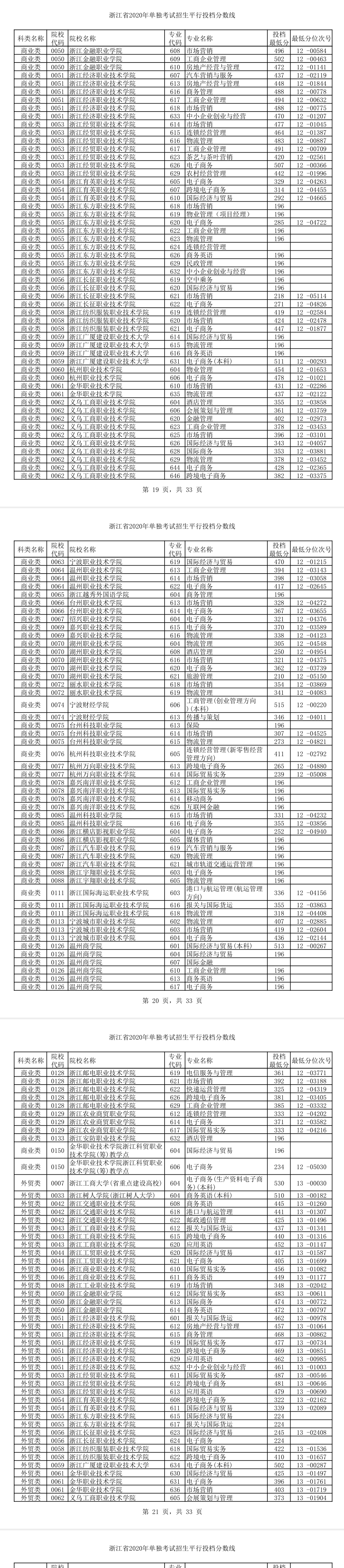
浙江省2020年单独考试招生平行投档分数线

浙江省教育考试院 2020-08-19
考生交流群 +加入
×
福建高考交流群
福建高职分类交流群

浙江省2020年单独考试招生平行投档分数线
  • 姓名
  • 所在地
  • 手机
  • 考试类型
  • 高考成绩
  • 2023年福建省普通高校招生体育类专业省级统一考试地图标识
    2023年福建省普通高校招生体育类专业省级统一考试地图标识 2023年福建省普通高校招生体育类专业省级统一考试地图标识 2022-11-10
  • 2023年福建省普通高校招生体育类专业省级统一考试考生须知
    2023年福建省普通高校招生体育类专业省级统一考试考生须知 2023年福建省普通高校招生体育类专业省级统一考试将于2022年11月21日-11月28日在福建师范大学旗山校区举行。为确保考生顺利参加考试,现将有关事项告知如下: 一、鉴于当前新冠肺炎疫情的不确定性,考试防疫要求将按疫情变化适时调整,请密切关注福建省教育考试院和福建师范大学考点的官网及微信公众号发布的考试防疫要求,遵守考试防疫规定。同时,请考生积极配合学校或当地教育招生考试机构做好考前健康情况摸排工作,如实填报目前居住地、身体健康情况等信息。 2022-11-10
  • 关于部分考生申请2022年下半年全国高等教育自学考试退费的通告
    关于部分考生申请2022年下半年全国高等教育自学考试退费的通告 2022年下半年全国高等教育自学考试已于10月22日—25日举行。鉴于当时有部分考生受疫情影响或因参加疫情防控工作无法参加考试,经研究,决定启动部分考生考试退费工作。现将有关事项通告如下: 一、申请退费对象 (一)因受疫情影响,本次自考所报课程未如期参加考试的考生。 (二)因参加疫情防控工作无法参加考试的一线人员。 2022-11-08
  • 福州考区2022年成人高考有关事项公告(二)
    福州考区2022年成人高考有关事项公告(二) 福州考区考生: 2022年成人高考福州考区如期进行。根据疫情防控需要,考务部门对福州考区考生重新编排了考点考场,现将有关事项公告如下: 一、福州考区考生11月2日23时前打印的准考证作废。 二、请考生凭个人账号、密码,即时起登录福建省教育考试院网站,自行重新打印准考证,考生进考点考场必须持新编的准考证。 三、请考生务必了解考点、考场变化,并充分考虑疫情给交通出行带来的不确定因素,提早规划赴考路线,及时到达新编考点参加考试。 2022-11-04
进入招考公示首页
  • 天府新区航空旅游职业学院专业介绍——法律事务
    天府新区航空旅游职业学院专业介绍——法律事务 天府新区航空旅游职业学院专业介绍——法律事务 2023-10-11
  • 大连海事大学人工智能专业介绍
    大连海事大学人工智能专业介绍 人工智能(Artificial Intelligence),英文缩写为AI。它是研究、开发用于模拟、延伸和扩展人的智能的理论、方法、技术及应用系统的一门新的技术科学。人工智能是计算机科学的一个分支,它企图了解智能的实质,并生产出一种新的能以人类智能相似的方式做出反应的智能机器,该领域的研究包括机器人、语言识别、图像识别、自然语言处理和专家系统等。例如:人脸识别技术,语音识别技术、基于用户兴趣的智能算法推荐技术。 2023-12-06
  • 上海商学院法学专业介绍
    上海商学院法学专业介绍 本专业培养具有社会公共责任、法务实践能力、创新创业精神、国情国际视野和德法兼修的复合型、应用型的商贸法律人才。经过本科教育,学生具有较完整的法学专业知识体系和扎实的理论功底,具备较强的法律专业思维和法律职业伦理;依托本校商科背景,熟悉商贸规则与商贸基本理论,能胜任律师事务所、企业、政府部门和司法部门的法律工作;成为能够熟练运用法学基础知识和法律思维能力解决相关法律实务问题的应用型人才。 2024-01-26
  • 沈阳城市建设学院之视觉传达设计专业介绍
    沈阳城市建设学院之视觉传达设计专业介绍 本专业服务文化创意产业,面向平面设计师、影视后期制作设计师、品牌设计师、插画师、美术师等岗位,以提升传播能力、综合设计能力为核心,培养善创意、精设计、懂管理、强实践,具备视觉传达系统设计的专业能力,能够在专业设计领域、企业、传播机构从事传统平面(印刷)媒体和现代数字媒体视觉传达设计等工作的应用型人才。 2025-02-06
进入专业介绍首页
  • 高考生落榜补录的机会大不大?
    高考生落榜补录的机会大不大? 既然称之为补录,那么相较于正常录取,其成功上岸的概率仅占15%左右,但是考生也不要因为录取机会不大就不愿意去尝试,只要在填报前时多多关注各高校的补录信息,相信考生们也一定会顺利上岸。那么高考生落榜补录的机会大不大? 2023-10-19
  • 2024高考志愿被退档该如何补救?
    2024高考志愿被退档该如何补救? 面对2024年高考志愿的退档情况,考生不必绝望,通过合理利用征集志愿和调剂机会,你仍然有机会进入理想的院校。今天就来和小编一起看看高考志愿被退档后该如何补救吧! 2024-08-09
  • 高考学校都落榜怎么办?
    高考学校都落榜怎么办? 面对高考学校落榜的消息,你可能会感到失望和迷茫,但请记得,这并不是你人生道路的终点,而是一个新的开始,一个重新规划和选择的契机。落榜并不意味着你没有其他的教育机会或者职业道路,它只是表明你需要重新考虑和探索不同的路径。在这个关键时刻,重要的是要保持积极的态度,评估现有的选择,并制定一个实际的计划。以下是一些建议和可能的途径,希望能帮助你在面对落榜的情况下,找到适合自己的新方向。 2024-10-16
  • 福建高考排名在126000左右的物理类考生能报什么大学?
    福建高考排名在126000左右的物理类考生能报什么大学? 福建高考排名126000的物理类考生,宛如一位在知识海洋中航行的水手,手握着排名的罗盘,寻找着能停靠的港湾,思索着能驶向哪些学府的彼岸。今天就和小编一起来看看福建高考排名在126000左右的物理类考生能报什么大学吧。 2025-06-02
进入招生章程首页
  • 2024福建高考生物真题
    2024福建高考生物真题 2024年福建高考生物已于6月8日结束,福建高考生物采用的是福建卷,考试真题与答案已经公布,考生可以通过查阅真题和答案,了解自己的考试情况,为接下来的备考和志愿填报做好准备。更多高考资讯、高校最新政策、历年高考录取分数线、志愿填报等信息,请关注福建高考网。 2024-06-14
  • 2024福建高考化学真题
    2024福建高考化学真题 2024年福建高考化学已经顺利结束,福建高考化学采用的是福建卷,考试真题与答案已经公布,考生可以通过查阅真题和答案,了解自己的考试情况,为接下来的备考和志愿填报做好准备。更多高考资讯、高校最新政策、历年高考录取分数线、志愿填报等信息,请关注福建高考网。 2024-06-14
  • 2024福建高考政治真题
    2024福建高考政治真题 2024年福建高考政治已经顺利结束,福建高考政治采用的是福建卷,考试真题与答案已经公布,考生可以通过查阅真题和答案,了解自己的考试情况,为接下来的备考和志愿填报做好准备。更多高考资讯、高校最新政策、历年高考录取分数线、志愿填报等信息,请关注福建高考网。 2024-06-14
  • 2025福建高考地理真题
    2025福建高考地理真题 2025年福建高考将于6月7日至9日举行,福建高考地理采用的是福建卷。同学们可以持续关注福建高考平台,我们会在考后第一时间公布考试真题与答案,以便考生们第一时间掌握自己的考试情况,为后续升学规划和志愿填报提供 2025-05-12
进入高考真题首页
  • 2020年福建省高考各类各批次投档比例
    2020年福建省高考各类各批次投档比例 实行梯度志愿投档的高校:其投档比例原则上控制在招生计划数的120%以内。军队院校区分性别,原则上按招生计划数的110%投档。如有多名考生文考总分加上政策性加分均为报考院校最低投档分、且符合学校调档要求,则不受 2020-07-24
  • 文史、理工类降分录取政策
    文史、理工类降分录取政策 本科批按照本科批录取控制分数线招生的专业,原则上不降分录取。其中,安排在本科提前批录取的航海类、公安类、司法类院校(专业),征求志愿录取后生源仍不足的,经批准,可在本科批录取控制分数线下20分以内(含20分, 2020-07-24
  • 2020年福建省普通高等学校招生录取实施办法
    2020年福建省普通高等学校招生录取实施办法 各市、县(区)高等学校招生委员会、教育局,平潭综合实验区社会事业局,各普通高等学校:根据《教育部关于做好2020年普通高校招生工作的通知》(教学〔2019〕4号)和《教育部高校学生司关于做好2020年普通高等学校特殊类型 2020-07-23
  • 福建省新高考改革实施方案公布 3+1+2模式!
    福建省新高考改革实施方案公布 3+1+2模式!   福建省深化高等学校考试招生综合改革实施方案  为全面贯彻落实习近平新时代中国特色社会主义思想、党的十九大以及全国教育大会精神,根据《国务院关于深化考试招生制度改革的实施意见》(国发〔2014〕35号)和《 2019-06-06
进入高考政策首页
进入录取查询首页
进入就业情况首页
今讲高考升学

账号密码登录

其他登录方式