当前位置: 首页 > 高考资讯 > 高招要闻 > 不了解“等级赋分”,选科要吃大亏!新高考“等级赋分制”解读

不了解“等级赋分”,选科要吃大亏!新高考“等级赋分制”解读

自主选拔在线 2022-09-28
考生交流群 +加入
×
福建高考交流群
福建高职分类交流群

不少高一新生家长都有这样的疑问:

“孩子今年高一,新高考模式下如何选科容易赋分?”

如果说填写志愿表才是高中最后的一张考卷,那么选科就成了决定性的压轴大题。但无论是“3+3”模式,还是3+1+2“模式,里面都涉及到一个新高考改革的重要产物——等级赋分制,它能直接影响考生的高考成绩的评定。所以,选科前需要先了解赋分制度,这样才有助于学生更好的选科!

等级赋分制

什么是“等级赋分制”?

等级赋分如何换算分数?

等级赋分对选科有哪些影响?

对学生来说是更有利还是吃亏了?

赋分后,学生原本的分数是不是就不值钱了?

......🐛

今天,小编就用这篇文章为大家理一理新高考的“等级赋分制”

 

一、什么是等级赋分制?

💡专业说法

新高考等级赋分制是指思想政治、历史、地理、物理、化学、生物6个科目设立等级性考试,学生可根据自身特长和高校要求从中自主选择3个科目进行考核,成绩按等级赋分(注意:有的省市赋3科,有的省市赋2科)。

💡通俗易懂

赋分前,考生的考分是原始分数,通过赋分换算才能得到最终分数,最终分数计入高考成绩。

💡附加解读

▲ 等级赋分制只针对新高考制度下的选考科目。

▲ 等级赋分制是依据考生在各省的排名来决定考生最后分数的一个制度。与原始分关系不大。

 

二、为什么要实行等级赋分制?

💡专业术语

新高考下,高考生选择参加高考的科目不一样,加之不同学科之间试题内容、形式、难度、考查角度等存在差异,各科目原始成绩简单相加会造成学科之间不公平不公正。

等级赋分制是为了解决以上弊端而生的。它有效克服了由于考生群体不同、试卷难度不同,通过规则换算成等级分,以名次为标准,让不同科目具有可比性。不再以分数为评判标准而是以单科成绩在总排名中的名次为标准。

 

三、等级赋分如何换算分数?

💡专业术语

以目前已启动新高考改革的14个省市等级赋分制来看,各个省份略有不同,从实行的情况看,可分为4个类型:以浙江、北京、上海、天津为代表的等级赋分方案,以山东为代表的等比例转化赋分方案,以海南为代表的标准分方案,还有基于第一批、第二批改革试点经验推出的第三批省市等级赋分制方案,更加科学、规范。

💡通俗易懂

小编以江苏省例讲讲赋分制如何赋分。

首先注意两点:

▲等级赋分制不是按照考生的卷面分数来计算成绩。遵循“原始分数——百分比例——等级——转化分数”的等级赋分路径。

▲等级赋分由相关主管部门自动完成,大家在查询到自己的高考成绩时,看到的已经是赋分后的分数,不需要大家自行换算。

具体换算过程:

1.固定的比例及对应的等级、赋分区间。

以实际参加该科选考人数的成绩为基数,将各考生原始成绩从高到低划分为A、B、C、D、E共5个等级,各等级人数所占比例分别约为15%、35%、35%、13%和2%。

不了解“等级赋分”,选科要吃大亏!新高考“等级赋分制”解读

以上的5个等级及各等级对应的比例及赋分区间是事先设定的固定规则,转换后赋分成绩满分为100分,赋分起点为30分。

例1

某学科原始分前15%的考生最高分为100分,最低分为95分,则该学科A等级的原始分区间为【100~95】。

已知A等级赋分区间为【100~86】分(固定不变),

也就是说,原始分【100~95】的考生为A等级,赋分后最终成绩为【100~86】分。

 

例2

某学科考试成绩最后2%的考生最高分为20分,最低分为5分,则该科目E等级的原始分区间为【20~5】。

已知E等级赋分区间为【40~30】分(固定不变),

也就是说,原始分【20~5】的考生为E等级,赋分后最终成绩为【40~30】分。

极端地讲,假设这个区间某考生原始分为5分,赋分后也能拿到30分。

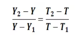
2.等级转换的具体公式:

不了解“等级赋分”,选科要吃大亏!新高考“等级赋分制”解读

其中:

Y1、Y2分别表示原始分区间的下限和上限;

T1、T2分别表示转换分区间的下限和上限;

Y表示原始分;

T表示转换分。

考虑到高考分数都以整数呈现,故上述公式的计算结果需要进行“四舍五入”处理。

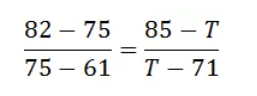
例1

假设小淘同学政治学科原始分为75分

再假设政治学科B等级原始分区间为【82~61】,

则小淘同学政治学科为B等级;

下面进行赋分换算:

B等级的赋分区间【85~71】(固定不变),

那么小淘同学赋分后分数为:

不了解“等级赋分”,选科要吃大亏!新高考“等级赋分制”解读

解得,T≈80.33;四舍五入后小淘同学政治学科最终赋分成绩为80

不了解“等级赋分”,选科要吃大亏!新高考“等级赋分制”解读

 

例2

假设小淘同学地理学科原始分为75分

再假设地理学科B等级原始分区间为【88~75】,

则小淘同学地理学科为B等级;

下面进行赋分换算:

B等级的赋分区间【85~71】(固定不变),

小淘同学考了B等级原始分区间的最低分,

所以小淘同学地理学科最终赋分成绩为71

💡附加解读

▲原始分(试面分)不重要,原始分在全省的排名才能决定赋值区间。

▲各省赋值公式的变量(差别)在于赋值的分数范围、等级数还有转换区间。

▲位置系数在得知原始分数后,对照各省赋分制的规则表格,查询各区间最高最低原始分再去计算。

 

四、等级赋分制公平吗?

不少学生和家长研读了赋分制规则都会有一个疑惑:成绩优秀的考生赋分后是不是吃亏了?成绩差的考生赋分后是不是占便宜了?这个制度对中等的考生影响是不是不大?

💡通俗易懂

新高考下,赋分制度只是相对公平的一种制度,并不是绝对的公平。影响赋分公平性的原因有很多,一个是试卷的难度,再者就是参与考试的人数。总体来说,控制不同试卷的难度程度后,选择的人数越多,赋分的结果就越趋于合理,选择人数越少,偶然性就越大,赋分的差距就会很大。需要注意的是赋分制度只是高考选拔的第一关,还有其它筛选机制来控制选拔的公平性的。

举例:

几年浙江出现弃物理现象。学物理的学霸多,为了避免和学霸竞争,大家纷纷放弃物理,这样的情况下加上试卷难度偏简单后,就会出现普遍得分高,赋分后学霸得分就降低了导致考试的区分度变小了。

💡附加解读

从上面可以看出,等级赋分制对于选科来说是可以投机的。选对了科目,赋分后可能得到更多分。

举例:

成绩一般的同学A,化学和生物在全省都考了前一万名。

化学选科人数5万人,生物选科30万人,分别在选科中的排名是20%以内和3.3%以内。

上文已经说了,高考最终分由排名确定赋值区间。根据计算两科的赋分差可能达到9分。

综上:

学霸随便选,成绩一般的考生,选科人少的不能选!!!

但毕竟投机需谨慎,取巧有风险。不要一味考虑哪门科目容易拿高分,选科还需要参考自己的职业规划,还需要看看你的这门科目在全省是什么水平,这才是决定你最终成绩的重要因素。

 

小编说

无论高考怎么改,过去的,现在的,未来的,都有一个大前提,得靠考生分数来说话,没有百分百的公平,手心手背都是肉,对你的优待,就是对别人的不公平;对你的不公平,就是对别人的公平。对已经确定好的政策,读懂政策,吃透规则,为选科做好准备。

  • 姓名
  • 所在地
  • 手机
  • 考试类型
  • 高考成绩
  • 2023年福建省普通高校招生体育类专业省级统一考试考生健康申明卡及安全考试承诺书
    2023年福建省普通高校招生体育类专业省级统一考试考生健康申明卡及安全考试承诺书 2023年福建省普通高校招生体育类专业省级统一考试考生健康申明卡及安全考试承诺书 2022-11-10
  • 2023年福建省普通高校招生体育类专业省级统一考试考生须知
    2023年福建省普通高校招生体育类专业省级统一考试考生须知 2023年福建省普通高校招生体育类专业省级统一考试将于2022年11月21日-11月28日在福建师范大学旗山校区举行。为确保考生顺利参加考试,现将有关事项告知如下: 一、鉴于当前新冠肺炎疫情的不确定性,考试防疫要求将按疫情变化适时调整,请密切关注福建省教育考试院和福建师范大学考点的官网及微信公众号发布的考试防疫要求,遵守考试防疫规定。同时,请考生积极配合学校或当地教育招生考试机构做好考前健康情况摸排工作,如实填报目前居住地、身体健康情况等信息。 2022-11-10
  • 《福建省普通高校专升本招考类别和考试说明》政策解读
    《福建省普通高校专升本招考类别和考试说明》政策解读 近日,福建省教育厅公布《福建省普通高校专升本招考类别和考试说明》。为了让考生、家长及社会各界人士更好地了解、理解我省普通高校专升本招考调整内容,具体解读如下。 一、本次专升本招生考试调整的背景和意义是什么? 我省现行的普通高校专升本招生考试方案实施多年,已不适应当前经济社会发展对人才培养的需要;招考专业类别与现行本科、专科专业类别不相符,部分考试科目和考试内容难以满足当前本科院校对高职毕业生的培养要求,也不适应当前高职院校的教学实际。 2022-11-07
  • 福州考区2022年成人高考有关事项公告(三)
    福州考区2022年成人高考有关事项公告(三) 福州考区考生: 根据福州疫情防控形势,现对本次考试有关事项公告如下: 1.请尚未重新打印准考证的考生,即时凭账号、密码登录福建省教育考试院网站自行打印准考证,以免影响正常考试。 2022-11-04
进入招考公示首页
  • 广东技术师范大学专业介绍——测控技术与仪器
    广东技术师范大学专业介绍——测控技术与仪器 本专业培养德、智、体全面发展,有一定研究、开发和创新能力的应用型高级专业技术人才。培养学生具备电工电子、自动检测与控制、自动控制理论、计算机控制技术、信息处理等方面的基础知识和基本技能,可从事汽车电子工程领域的技术研究、汽车电子产品开发及相关技术管理等工作。 2023-10-18
  • 沈阳大学社会体育指导与管理专业介绍
    沈阳大学社会体育指导与管理专业介绍 培养目标:本专业培养德智体美全面发展,具有社会体育基本理论、体育经济与管理基本知识及运动技能,能在社会体育领域中从事体育赛事经营与管理、体育场馆和俱乐部运营与开发以及社区体育指导与管理等应用型人才。 2024-02-28
  • 河北石油职业技术学院专业介绍—会展策划与管理(专科)
    河北石油职业技术学院专业介绍—会展策划与管理(专科) 培养目标:培养理想信念坚定,德、智、体、美劳全面发展,具有一定的科学文化水平,良好的人文素养、职业道德和创新意识,精益求精的工匠精神,较强的就业能力和可持续发展的能力;掌握本专业知识和技术技能,面向会议展览及相关服务业的会展设计、策划、服务与管理等职业群,能够从事从事会展设计、策划、管理与服务等工作的高素质技术技能人才。 2024-09-10
  • 江苏第二师范学院环境设计专业介绍
    江苏第二师范学院环境设计专业介绍 江苏第二师范学院环境设计专业介绍 2024-09-11
进入专业介绍首页
  • 什么是“国家特色专业”?
    什么是“国家特色专业”? 高考结束后,想必大家最期待的就是出成绩和填报志愿,在高考志愿的填报过程中,会发现有一些专业标注了“国家特色专业”。那么这个“国家特色专业”是什么意思呢?接下来小编就为大家详细的解释一下。 2024-06-13
  • 高考没考好的原因都有哪些呢?
    高考没考好的原因都有哪些呢? 高考一直以来都是社会关注的焦点,因为这关系着千万家庭孩子的未来。关于高考的话题总能引起人们的兴趣,那么今天就一起来探讨一下,高考没考好的原因都有哪些呢? 2023-10-16
  • 高考考生如何面对高考失利?
    高考考生如何面对高考失利? 面对高考这一人生大考,并非每位考生都能如愿以偿,失利的阴霾可能笼罩在一些考生的心头。然而,高考失利并不是人生的终点,而是一个新的起点,一个重新审视自我、规划未来的机会。今天,就让我们一起来探讨高考考生如何积极面对高考失利。 2024-08-28
  • 福建高考排名在119000左右的物理类考生能报什么大学?
    福建高考排名在119000左右的物理类考生能报什么大学? 福建高考排名119000的物理类考生,恰似一位在知识的花园中采撷芬芳的少年,带着对未来的期待,开始在众多学府中寻找那朵能绽放梦想的花朵。今天就和小编一起来看看福建高考排名在119000左右的物理类考生能报什么大学吧。 2025-06-02
进入招生章程首页
  • 2024福建高考语文真题(新高考I卷)
    2024福建高考语文真题(新高考I卷) 2024年福建高考语文已于6月7日结束,福建高考语文采用的是全国新高考I卷,考试真题与答案已经公布,考生可以通过查阅真题和答案,了解自己的考试情况,为接下来的备考和志愿填报做好准备。更多高考资讯、高校最新政策、历年高考录取分数线、志愿填报等信息,请关注福建高考网。 2024-06-08
  • 2024福建高考英语真题(新高考I卷)
    2024福建高考英语真题(新高考I卷) 2024年福建高考将于6月7日至9日举行,福建高考英语采用的是全国新高考I卷。福建高考平台将在考后第一时间公布考试真题与答案,请持续关注!最后福建高考平台在此祝大家取得好成绩! 2024-06-08
  • 2025福建高考政治真题
    2025福建高考政治真题 2025年福建高考将于6月7日至9日举行,福建高考政治采用的是福建卷。同学们可以持续关注福建高考平台,我们会在考后第一时间公布考试真题与答案,以便考生们第一时间掌握自己的考试情况,为后续升学规划和志愿填报提供关键参考!最后福建高考平台在此祝大家取得好成绩! 2025-05-12
  • 2025福建高考化学真题
    2025福建高考化学真题 2025年福建高考将于6月7日至9日举行,福建高考化学采用的是福建卷。同学们可以持续关注福建高考平台,我们会在考后第一时间公布考试真题与答案,以便考生们第一时间掌握自己的考试情况,为后续升学规划和志愿填报提供关键参考!最后福建高考平台在此祝大家取得好成绩! 2025-05-12
进入高考真题首页
  • 厦门医学院2019年高考录取规则
    厦门医学院2019年高考录取规则 【录取原则】1、学校招生录取工作遵循“公平竞争、公开选拔、公正透明、择优录取”的原则。2、学校招生录取工作遵循生源所在省(市、自治区)教育厅和省(市、自治区)招生委员会制定关于2019年普通高考招生录 2019-06-05
  • 宁德师范学院2019年高考录取规则
    宁德师范学院2019年高考录取规则 【专业录取要求】(一)外语语种要求:英语、商务英语专业只招收英语语种考生,其它专业不限考生的外语语种。非外语专业学生进校后只以英语作为公共基础外语安排教学。(二)外语成绩要求:报考英语、商务英语专业考生须 2019-06-05
  • 武夷学院2019年高考录取规则
    武夷学院2019年高考录取规则 第十六条 学校根据生源情况,在各地招生主管部门规定的范围内确定调档比例。实行平行志愿投档的招生批次,调档比例控制在学校招生计划数的105%以内;实行梯度志愿投档的招生批次,调档比例控制在学校招生计划数120%以 2019-06-05
  • 龙岩学院2019年高考录取规则
    龙岩学院2019年高考录取规则 第十七条 考生要求专业体检受限标准参照《普通高等学校招生体检工作指导意见》及有关补充规定执行。患有下列疾病者,学校可以不予录取:1.严重心脏病(先天性心脏病经手术治愈,或房室间隔缺损分流量少,动脉导管未闭 2019-06-05
进入高考政策首页
进入录取查询首页
进入就业情况首页
今讲高考升学

账号密码登录

其他登录方式