手机站
|
院校直通车
专业大全
今日更新
欢迎注册成为会员,大数据查分数,智能志愿填报,学业评测!
搜索
AI查询
咨询电话:
15305905862
资讯
招考公示
头条新闻
高考资讯
成绩查询
招考
高招要闻
志愿填报
院校动态
投档录取
高校
院校直通车
历年分数
专业介绍
招生章程
招生计划
考生问答
备考
高考真题
名校试卷
复习攻略
心理辅导
志愿
分类考试
智能选科
升学讲堂
学业测评
职业库
数据查询
当前位置:
首页
>
四川高考
>
分数线
> 2018年普通高校在川招生专科提前批录取院校调档线
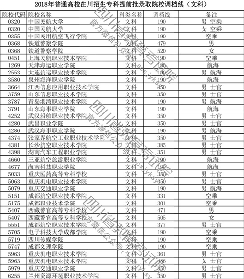
2018年普通高校在川招生专科提前批录取院校调档线
2018-11-21
考生交流群
+加入
×
福建高考交流群
福建高职分类交流群
标签:
姓名
所在地
手机
考试类型
请选择
高职分类
普通高考
高考成绩
上一篇:四川省2018年普通高等学校艺术体育类专业招生高职(专科)批调档线
下一篇:2018年普通高校在川招生专科批录取院校调档线
高考资讯
福建技术师范学院2020年福建本科批第一次征求志愿计划
投档录取
福建高考物理组180分可以上什么专科?
成绩查询
2024年福建福州高考成绩查询入口:福建省教育考试院www.eeafj.cn
收费标准
江苏医药职业学院2024年收费标准
志愿填报
征集志愿填报时需要注意什么?
模拟试题
四川省绵阳南山中学2023-2024学年高三上学期12月月考理数试卷及参考答案
高考那点事儿
教育头条
福建省2025年6月高中阶段学考温馨提醒
高招要闻
可能降分?福建这些本科高校今年扩招了!
院校动态
广西科技大学在2023年广西高等教育教学成果奖评选中喜获佳绩
招生计划
上饶幼儿师范高等专科学校2025年重庆市物理类专科批招生计划
历年分数
辽宁理工学院2023年湖南省分专业参考分数线
热门大学
福建水利电力职业技术学院
立即报名
厦门大学
立即报名
福州大学
立即报名
集美大学
立即报名
华侨大学
立即报名
大家都在看
闽南理工学院
华侨大学
集美大学
阳光学院
高考志愿填报
招考公示
专业介绍
招生章程
高考真题
高考政策
录取查询
就业情况
福建省教育厅关于做好2025年招收定向培养军士工作的通知
根据国家教育部和军委政治工作部、国防动员部《关于做好2025年招收定向培养军士工作的通知》,结合我省实际,现就2025年定向培养军士招收工作明确如下:
2025-07-01
福建2025年定向招录培养侦查学专业(维语方向)人才招生公告
根据中组部、公安部、教育部、财政部、人社部联合下发的《关于印发〈2025年定向招录培养侦查学专业(维语方向)人才工作实施方案〉的通知》(公政治〔2025〕173号)精神,新疆警察学院2025年计划在我省招收侦查学专业(维语方向)人才3名,以上招生计划为我省公安机关定向招录培养计划。
2025-07-01
福建省2025年公安普通高等院校公安专业招生考生须知
根据公安部、教育部有关文件精神和我省2025年公安普通高等院校公安专业招生安排,2025年有意向报考中国人民公安大学、中国人民警察大学、中国刑事警察学院、郑州警察学院、南京警察学院(以上5所简称部属公安院校)公安专业和浙江警察学院涉外警务专业、新疆警察学院侦查学专业(维语方向),以及福建警察学院公安、司法警察专业的考生,应当符合规定的报名资格条件,按流程参加省公安厅政治部统一组织的政治考察、面试、体检、体能测评。未参加政治考察、面试、体检、体能测评或任何一项不合格的,不予录取。为保证广大考生的报考权益,现将报考公安院校资格条件和有关事项公告如下。
2025-07-01
福建省教育厅关于印发《福建省2025年公安普通高等院校公安司法警察专业招生办法》的通知
为深入贯彻习近平总书记关于新时代公安工作、教育工作的重要论述,认真落实公安机关人民警察招录培养机制改革部署要求,高质量选拔公安事业的优秀建设者和可靠接班人,全面加强公安专业人才队伍建设,根据《关于加强公安机关人民警察招录工作的意见》《关于公安院校公安专业人才招录培养制度改革的意见》《公安院校公安专业招生工作办法》和公安部办公厅、教育部办公厅《关于做好2025年公安普通高等院校招生工作的通知》精神,福建省公安厅、福建省教育厅结合我省实际,制定《福建省2025年公安普通高等院校公安司法警察专业招生办法》,现印发给你们,并就有关要求通知如下:
2025-07-01
进入招考公示首页
广东外语外贸大学——马来语专业
本专业核心课程包括:基础马来语、高级马来语、马汉/汉马笔译、马汉/汉马口译、马来西亚概况、马来西亚历史、马来语阅读、马来语报刊选读、马来语视听、马来语口语、马来语写作等。
2024-12-04
沈阳城市学院之英语专业介绍
本专业为辽宁省一流本科专业建设点,以语言应用和文化传播为特色。专业面向英语翻译和英语教学等领域,培养掌握英语语言基础理论和现代化应用技术等方面的知识与技能,具备较高的听、说、读、写、译等英语专业能力,具备办公事务管理、信息系统应用和公文写作等能力的专门人才。学生毕业后能够在翻译公司、外贸企业、教育集团、传媒领域以及旅游行业等企事业单位从事英语翻译、语言服务、教育教学、文字编辑、商务活动等工作。
2025-02-26
右江民族医学院助产学专业介绍
培养目标:培养具有良好的职业道德及先进护理理念,服务民族地区和广大基层的人文好、技术精的高素质应用型护理人才。通过系统学习护理学、助产学、基础医学与其他学科如人文礼仪、母婴营养学、社区护理学的基本理论知识及基本技能,具备较强的创新能力、实践能力及一定的管理、教学能力,并具备初步护理科研工作能力。
2025-03-11
山东水利职业学院土木工程检测技术专业介绍
土木工程检测技术专业是山东水利职业学院面向普通高中毕业生(理工类)开设的三年制专科专业。该专业旨在培养具备土木工程检测与质量控制能力的高等专业技术应用型人才,为工程质量监督控制领域输送专业力量。
2026-02-24
进入专业介绍首页
没考上大学以后去干嘛?
高考是人生的重要一站,但成绩不理想并不意味着未来无望。记住,高考只是众多选择之一,非唯一决定因素。未被大学录取,也不代表梦想破灭,它可能是新开始的起点。今天小编就来说一说考不上大学以后去干嘛?
2024-11-04
高考滑档还能读大学吗?
每年高考放榜后,总有一部分考生因志愿填报失误、分数未达预期或竞争激烈而面临"滑档"的困境。当屏幕上的录取结果赫然显示"未被任何院校录取"时,焦虑与迷茫如潮水般涌来——难道十余年寒窗苦读的努力,就要因此付诸东流吗?
2025-07-17
福建高考落榜后还有什么机会?
高考作为人生重要的转折点,承载着无数考生的梦想与期待。然而,并非所有努力都能换来理想的结果,每年都会有部分考生面临落榜的情况。面对这样的结果,很多考生会陷入迷茫与焦虑,甚至觉得未来失去了方向。但实际上,高考落榜并不意味着人生就此定格,在福建,落榜生依然有多种途径可以追寻自己的人生价值,开启新的成长篇章。下面我们就一起来了解一下吧。
2025-09-13
福建高考排名在38100左右的历史类考生能报什么大学?
面对专科批次录取,历史类38100名左右的考生别焦虑!这个排位段仍有优质院校可冲刺,关键要抓住"低分高报"的黄金法则。今天就来和小编一起看看排名在38100左右的历史类考生能报什么大学吧。
2025-06-11
进入招生章程首页
2024福建高考语文真题(新高考I卷)
2024年福建高考语文已于6月7日结束,福建高考语文采用的是全国新高考I卷,考试真题与答案已经公布,考生可以通过查阅真题和答案,了解自己的考试情况,为接下来的备考和志愿填报做好准备。更多高考资讯、高校最新政策、历年高考录取分数线、志愿填报等信息,请关注福建高考网。
2024-06-08
2024福建高考历史真题
2024年福建高考历史已于6月8日结束,福建高考历史采用的是福建卷,考试真题与答案已经公布,考生可以通过查阅真题和答案,了解自己的考试情况,为接下来的备考和志愿填报做好准备。更多高考资讯、高校最新政策、历年高考录取分数线、志愿填报等信息,请关注福建高考网。
2024-06-08
2024福建高考生物真题
2024年福建高考生物已于6月8日结束,福建高考生物采用的是福建卷,考试真题与答案已经公布,考生可以通过查阅真题和答案,了解自己的考试情况,为接下来的备考和志愿填报做好准备。更多高考资讯、高校最新政策、历年高考录取分数线、志愿填报等信息,请关注福建高考网。
2024-06-14
2024福建高考政治真题
2024年福建高考政治已经顺利结束,福建高考政治采用的是福建卷,考试真题与答案已经公布,考生可以通过查阅真题和答案,了解自己的考试情况,为接下来的备考和志愿填报做好准备。更多高考资讯、高校最新政策、历年高考录取分数线、志愿填报等信息,请关注福建高考网。
2024-06-14
进入高考真题首页
福建省教育考试院发布视频解读高考平行志愿政策
出分日临近,如何填报志愿学生和家长纠结的问题。我省已实施平行志愿投档模式多年,但对于初次接触志愿填报的人而言,这一模式仍是比较陌生的,一不小心就会造成“高分低就”甚至落榜的遗憾。今天小编为大
2020-07-14
福建省新高考改革实施方案公布 3+1+2模式!
福建省深化高等学校考试招生综合改革实施方案 为全面贯彻落实习近平新时代中国特色社会主义思想、党的十九大以及全国教育大会精神,根据《国务院关于深化考试招生制度改革的实施意见》(国发〔2014〕35号)和《
2019-06-06
福建商学院2019年高考录取规则
【对普通文理专业的录取规则】(一)对文理科类实行按专业志愿出档方式出档的省份,按照“分数优先”的原则录取,即按文化总分排序,从高到低录取。(二)对文理科类实行按院校志愿出档方式出档的省份,第一专
2019-06-05
宁德师范学院2019年高考录取规则
【专业录取要求】(一)外语语种要求:英语、商务英语专业只招收英语语种考生,其它专业不限考生的外语语种。非外语专业学生进校后只以英语作为公共基础外语安排教学。(二)外语成绩要求:报考英语、商务英语专业考生须
2019-06-05
进入高考政策首页
赣南卫生健康职业学院2024年山东省高职(专科)录取工作完成
经山东省教育考试院投档,我院2024年山东省高职(专科)批次录取已结束,具体情况见下表。考生可通过山东省教育考试院官网查看录取状态。
2024-08-01
西南民族大学2024年艺术类投档情况
西南民族大学2024年艺术类投档情况
2024-08-01
赣南卫生健康职业学院2024年陕西省高职(专科)录取工作完成
经陕西省教育考试院投档,我院2024年陕西省高职(专科)批次录取已结束,具体情况见下表。考生可通过陕西省教育考试院官网查看录取状态。
2024-08-06
西南科技大学2024年艺术体育类录取信息汇总表
西南科技大学源起于1952年创办的重庆第一土木建筑学校和西南建筑工程学院以及由两校合并成立的重庆建筑工程学校。学校曾在重庆、石棉、绵阳三地办学,1978年四川建筑材料工业学院迁至原清华大学绵阳分校校址,清华大学绵阳分校部分职工及办学资源并入学院。1993年更名为西南工学院。2000年,原西南工学院与绵阳经济技术高等专科学校合并组建西南科技大学。学校校园现占地5463亩,环境优美,设施完善,是读书治学的好地方。学校现有建筑面积119万平方米,固定资产总值28.7亿元,教学科研仪器设备值已达10亿元。学校图书馆建筑面积3.6万平方米,藏有纸质图书269万余册,电子图书798万余册。
2024-08-09
进入录取查询首页
【致毕业生】集美大学诚毅学院2025届毕业生第二场综合性校园双选会通知
【致毕业生】集美大学诚毅学院2025届毕业生第二场综合性校园双选会通知
2024-11-25
鞍山职业技术学院毕业生就业方向
鞍山职业技术学院毕业生就业方向
2025-04-17
沈阳城市建设学院单招上岸择业“so easy”的专业
沈阳城市建设学院单招上岸择业“so easy”的专业
2025-04-28
福建信息职业技术学院“百日冲刺行动”2025届毕业生夏季线下大型校园招聘会
福建信息职业技术学院“百日冲刺行动”2025届毕业生夏季线下大型校园招聘会
2025-07-02
进入就业情况首页
今讲高考升学
官方企业微信
官方微信公众号
志愿填报小程序
账号密码登录
用户名不存在
密码输入错误
找回密码
下次自动登录
登 录
注册
其他登录方式